并查集(Union-Find Disjoint Sets, UFDS)是一种用于处理一些不相交集合的数据结构,实现为一个森林,其中的每棵树表示一个集合,树中的节点表示对应集合中的元素。
顾名思义,并查集支持两种操作:
下图是一个具有四个不相交集合的树构成的森林。

并查集数据结构最常见的应用是跟踪无向图的连接组件。它还用于实现 Kruskal 算法的高效版本,以查找图的最小生成树。
关于并查集的应用,后面的学习中再做整理~
上面介绍了什么是并查集,并给出了并查集支持的一些操作。下面开始,逐步实现基于数组的并查集。
并查集的实现可以使用数组来表示每个元素所属的集合,其中:
一般用树的根节点作为该集合的代表元素。
初始时,每个元素都是独立的集合,它属于它自己(表示为一棵只有根节点的树),即每个元素的值和索引相同(将根节点的父亲设为自己)。
初始化时,就像这样,自己指向自己,树的高度为 0。

1 | // 初始化并查集 |
这里
rank[i]的值是以顶点i为根的子树高度的上限,它用作后面UnionSet(i, j)操作的引导启发式。先不用管rank[i]了,后面还会遇到。
就像文章一开头说的那样,并查集的查找操作,是查找某个元素所属集合,通常是找到该元素所在集合的根节点。具体地,
朴素的并查集查找操作(迭代实现):
1 | // 查找元素所属的集合 |
朴素的并查集查找操作(递归实现):
1 | // 查找元素所属的集合 |
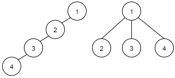
想一想,一个集合中的所有元素,虽然有共同的代表元素,但是这棵树可能呈现不同的形状。

上面这张图中,左边与右边集合中的元素一致,且代表元素都是 1,但是树的形状不同。这样的话,对于同一个元素(比如 4),查找到其代表元素 1 的迭代(递归)次数是不一样的,左边需要 3 次才能完成,而右边只需要 1 次就能完成。
因此,为了提高效率,就需要尽可能降低迭代(递归)次数。这就需要进行「路径压缩」。
想一想,上面递归方式实现的查找操作 findSet(int parent[], int x) 中,是查找元素 x 的代表元素并返回。在这个函数内部,如果当前元素的父元素不是代表元素,函数会递归的查找其父元素的代表元素(我们被划分在同一个集合中了,假如我的代表元素是 R,那么我的父元素的代表元素也是 R 呀)。
因此,我们可以 在递归的过程中,更新当前元素的代表元素,从而实现「路径压缩」,以加快后续查找。
并查集查找操作(带路径压缩的递归实现):
1 | // 查找元素所属的集合 |
并查集查找操作(带路径压缩的迭代实现):
1 | // 查找元素所属的集合 |
假如,我们有如下的不相交集合:

现在,我们使用带路径压缩的并查集查找函数,查找元素 1 的代表元素,这一过程可以可视化为下面的动画。

图中
r就是rank的缩写,s代表的是元素的数量。
要合并两棵树(集合),我们只需要将一棵树的根节点连到另一棵树的根节点。要完成这一操作,我们需要:
x 的代表元素;y 的代表元素;1 | // 合并两个集合 |
合并时,选择哪棵树的根节点作为新树的根节点会影响未来操作的复杂度。我们可以 将节点较少或深度(树高)较小的树连接到另一棵,以免发生退化。
这样做的目的是尽量避免将较大的树作为子树合并到较小的树上,从而保持树的平衡,减小树的高度。
在并查集中,「退化」指的是树结构变得非常不平衡,即树的高度非常大,接近于线性结构(如链表)。
因此,在初始化小节中,数组 rank[i] 就是用来维护以顶点 i 为根的子树高度的上限,它就是在这里被使用的啦。
1 | void unionSet(int parent[], int rank[], int x, int y) { |
在初始化时,每个元素都是一个独立的集合,每个树的高度都为 0:
unionSet(parent, rank, 1, 3) 操作,会合并为一棵 3->1 的树,其中 3 为根节点,这棵新树会长高一个单位;unionSet(parent, rank, 1, 4) 操作,会合并为一棵 4<-3->1 的树,其中 3 为根节点,由于 1 所在的树高大于 4 所在的树高,因此在合并后,树高不会变得更高,因此不会更新 rank 值。注意:在启发式合并的过程中,只能保证根节点对应
rank值是正确的,不能保证其它位置的rank值的正确性。
假如,我们有如下几个不相交集合:

现在,我们使用以树高为标准的启发式合并,执行 unionSet(parent, rank, 10, 8),这一过程可以可视化为下面的动画。

这里 x = 10, y = 8 与 x = 8, y = 10 执行后,得到的树是不一样的哦。
你可能已经发现了:在执行合并的过程中,树也会被路径压缩,这是因为并查集的合并接口调用了查找接口。
判断两个元素是否属于同一集合。
1 | int isSameSet(int parent[], int x, int y) { |
时间复杂度:
O(n)O(n)O(h),可以优化至 O(α(n)),其中 h 是树的高度,足够平衡时 h = log(n),α 是阿克曼函数O(h),可以优化至 O(α(n))空间复杂度:O(n)
这里的并查集数据结构的实现,是采用的 Quick Union 方式,而不是 Quick Find 方式。
1 | void init(int parent[], int rank[], int size) { |
1 |
|
1 | findSet(0): 0 |
参考资料: